Pomiar czasu pogłosu – jak wyznaczać i o czym mówi ten parametr?

Pomiar czasu pogłosu - krzywa zaniku

Rys. 1. Przykładowa krzywa zaniku otrzymana z wykorzystaniem miernika poziomu dźwięku SVANTEK
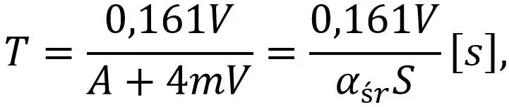
Wzór sabine'a na czas pogłosu
Wymagania czasu pogłosu PN-B-02151-4 komunikacja słowna

Tab. 1. Wymagania dotyczące czasu pogłosu T w pomieszczeniach przeznaczonych do komunikacji słownej, w zależności od jego objętości. Źródło: PN-B-02151-4:2015-06.
Wymagania czasu pogłosu PN-B-02151-4

Tab. 2. Wymagania dotyczące czasu pogłosu T w pozostałych pomieszczeniach, w zależności od ich objętości. Źródło: PN-B-02151-4:2015-06.
BREEAM - wymagania dot. czasu pogłosu

Tab.3 Dopuszczalny czas pogłosu wg instrukcji BREEAM International New Construction 2016.
pomiar czasu pogłosu

Rys 4. Zdjęcie podczas pomiarów czasu pogłosu w hotelu.

Zapoznaj się
z naszą ofertą

Potrzebujesz wykonać pomiar akustyczny?

Jesteśmy w stanie Ci pomóc

Skontaktuj się z nami

Jesteś architektem lub deweloperem? Jeśli planujesz inwestycję, a może masz pytania o akustykę budynków, odezwij się! Pomożemy zadbać o komfort akustyczny Twojego projektu – od pierwszego szkicu po gotową realizację.